Download Certified Associate in Python Programming.PCAP.ExamTopics.2025-05-04.141q.vcex

Vendor: Python Institute
Exam Code: PCAP
Exam Name: Certified Associate in Python Programming
Date: May 04, 2025
File Size: 2 MB
Downloads: 15

How to open VCEX files?

Files with VCEX extension can be opened by ProfExam Simulator.

ProfExam Discount

Demo Questions

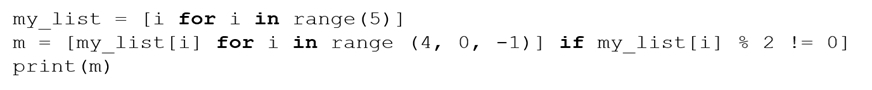
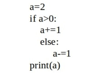
Question 1
What will be the value of the i variable when the while e loop finishes its execution?
  1. 1
  2. 0
  3. 2
  4. the variable becomes unavailable
Correct answer: A
Question 2
What is the expected output of the following snippet?
  1. 3
  2. 1
  3. 2
  4. the code is erroneous
Correct answer: D
Question 3
What is true about Python class constructors? (Choose two.)
  1. there can be more than one constructor in a Python class
  2. the constructor must return a value other than None
  3. the constructor is a method named __init__
  4. the constructor must have at least one parameter
Correct answer: CD
Question 4
Assuming that the following piece of code has been executed successfully, which of the expressions evaluate to True? (Choose two.)
  1. isinstance (obj_b,A)
  2. A.VarA == 1
  3. obj_a is obj_aa
  4. B.VarA == 1
Correct answer: AB
Question 5
Assuming that the code below has been executed successfully, which of the expressions evaluate to True? (Choose two.)
  1. len(Class.__dict__) == 1
  2. 'data' in Class.__dict__
  3. 'var' in Class.__dict__
  4. 'data' in Object.__dict__
Correct answer: BC
Question 6
A property that stores information about a given class's super-classes is named:
  1. __upper__
  2. __super__
  3. __ancestors__
  4. __bases__
Correct answer: D
Question 7
Which of the following lines of code will work flawlessly when put independently inside the add_new() method in order to make the snippet's output equal to [0, 1, 2]? (Choose two.)
  1. self.queue.append(self.get_last() + 1)
  2. self.queue.append(get_last() + 1)
  3. self.queue.append(self.queue[-1] + 1)
  4. queue.append(self.get_last() + 1)
Correct answer: AC
Question 8
What is the expected output of the following code?
  1. a
  2. c
  3. an exception is raised
  4. b
Correct answer: B
Question 9
What is the expected output of the following code if there is no file named non_existing_file inside the working directory?
  1. 1 2 4
  2. 1 2 3 4
  3. 2 4
  4. 1 3
Correct answer: D
Question 10
What is the expected output of the following code if the file named existing_text_file is a non-zero length text file located inside the working directory?
  1. the length of the first line from the file
  2. -1
  3. the number of lines contained inside the file
  4. the length of the last line from the file
Correct answer: B
Question 11
What is the expected behavior of the following code?
  1. it outputs [1, 3]
  2. the code is erroneous and it will not execute
  3. it outputs [3, 1]
  4. it outputs [4, 2, 0]
Correct answer: C
HOW TO OPEN VCE FILES

Use VCE Exam Simulator to open VCE files
Avanaset

HOW TO OPEN VCEX AND EXAM FILES

Use ProfExam Simulator to open VCEX and EXAM files
ProfExam Screen

ProfExam
ProfExam at a 20% markdown

You have the opportunity to purchase ProfExam at a 20% reduced price

Get Now!